您是否留意到,有一样东西,没有它就没有智能手机和平板电脑,没有它也没有重生的苹果及现在的小米,没有它您也享受不到微信带来的各种便利,当然您更不能坐在舒适、安静及环保的新能源汽车里环游世界,这都是锂电池的功劳。不管您是生活在繁华的大都市还是宁静的小乡村,它影响着我们工作和生活的方方面面。

锂电池是1912年由Gilbert N. LewisZ 早提出并研究,1991年索尼公司商品化了锂离子电池,2019年诺贝尔化学奖颁给了约翰·B·古迪纳夫等三人,以表彰他们在锂电领域做出的贡献。我国也非常重视锂电产业,近几年出台多部政策鼓励新能源汽车的发展,在政策的推动下,中国锂电产业规模迅猛增长。2018年,中国锂电产业规模约占产业规模的41%,跃居首位,且持续高速增长,据专家预测到2025年,我国锂电产业规模将超过6000亿元,市场前景广阔。
锂离子电池的四大关键材料为正极、负极、电解液及隔膜,其中电解液在电池正负极之间进行离子和离子化合物的传输,它的含量和性能直接决定了电池的电导率、容量和输出电压,因此电解液中不同锂盐含量和配比直接影响电池的性能,故锂盐含量的监控就变得尤为重要。
赛默飞解决方案
赛默飞Integrion高压离子色谱仪可助您轻松实现锂盐监控,若您选择小粒径柱,分析速度JD能让您有点小激动。
赛默飞电解液锂盐监控方案

图 常见6种锂盐快速分离色谱图

Thermo Scientific™Dionex™Integrion 高压离子色谱仪

图 碳酸酯溶剂在线去除系统
赛默飞-Integrion高压离子色谱分析电解液中锂盐具有以下特点:
●仪器中国耐压可达6000psi(PEEK材质),兼容小粒径色谱柱;
●分析效率高,15min内可完成常规锂盐的分析;
●柱容量高,分离度好,目标物之间无相互干扰,定量结果准确可靠;
●选配在线处理系统,兼容碳酸酯溶剂直接进样,无需担心样品水解。
Q:Hi 老兄,新买的新能源汽车充满电放几天就没电了,咋回事呢?
A:是电池里的杂质离子引起的“自放电”。
Q:杂质离子来自哪呢?
A:电解液中碳酸酯和锂盐、正极和负极材料、隔膜和阻燃剂等都能引入杂质离子,即使ppb级别的杂质离子都能影响电池性能。
Q:什么手段能监控ppb级别的杂质离子呢?
A:赛默飞家的Integrion离子色谱可以助您轻松实现ppb级别杂质离子准确定量,并且配备“只加水”特色技术,省去您配淋洗液的麻烦。
赛默飞锂离子电池材料中杂质离子监控方案

图 电解液中常见杂质阴离子分离图谱

图 “只加水”离子色谱仪原理图

图 淋洗液自动发生器(Eluent Generator,EG)原理图

图 在线浓缩、中和、去除重金属离子及疏水性化合物系统
赛默飞-Integrion高压离子色谱分析锂离子电池材料杂质离子特点:
●配备“只加水”技术,可帮您消除每次配制淋洗液的烦恼;
●多步高压梯度,多组分同时分析时,可兼顾分离度及分析效率;
●OH体系灵敏度优于碳酸体系,适用于痕量杂质分析;
●淋洗液和再生液通道完全隔离的微膜YZ器,无交叉污染;
●可满足电解液碳酸酯溶剂及锂盐、正极和负极材料、隔膜、阻燃剂及粘胶中ppb级别杂质离子监控;
●可满足标准GB/T 24533-2019及GB/T 18282-2014的要求;
●选配在线处理系统,实现样品在线浓缩、中和、去除重金属离子及疏水性化合物。
赛默飞锂离子电池内部复杂化学变化研究方案
赛默飞为电池研发者提供了离子与质谱联用方案,为电池充放电过程中副反应产物定性、为活性物质降解机理提供监控方案,助力研发者掌握电池内部化学变化规律,为我们提供更高性能的电池。

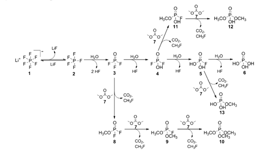
图 六氟磷酸锂降解机理途径研究

图 电解YZ器原理图
图 离子色谱串联质谱(IC-MS/MS)
赛默飞离子色谱与质谱联用特点:
●Chromeleon变色龙统一操作软件,可实现离子色谱与质谱的同时控制;
●联用接口——在线电解YZ器,持续稳定的在线脱盐,无需修改IC分离方法,wan美对接质谱;
●质谱检测器平台提供单杆质谱、三重四极杆质谱以及高分辨质谱等完整质谱选项;
●可助您探索电池充放电过程内部化学变化的奥妙。
总结
从电解液中锂盐含量的监控,到电池材料杂质离子检测,再到电池内部物质转化的研究,赛默飞离子色谱均能为您提供zui优质的解决方案。
联系电话
微信扫一扫